Back to www.qedcat.com.

Professor Bolingbroke's office

The blackboard in the background was the only blackboard that we prepared. All the other mathematical writing was done on whiteboards.

The blackboard pops up in a couple of other scenes. In this shot you can see it in its full glory. Click here for a photo of Marty planning his next move. Click here to have a close look at the finished board and here to have a look at the whiteboard visible on the right.

The detectives are discussing the murder scene: "Calculus, logarithmic functions, algebraic proof maybe?" Oh well, not quite. You can see the Maths Masters making friends with the almost dead professor by clicking here.

The professor's body was supposed to be covered with formulas and equations related to the Riemann Hypothesis and prime numbers. In this close-up shot of the corpse you can see a very famous formula (upside-down) that establishes the connection between the zeta function, which is the function at the heart of the Riemann Hypothesis and the prime numbers. This formula also appears in the middle of a whiteboard that we came across earlier here.

Click here to have a close look at Burkard's Hoberman sphere visible on the right. Click here to check the whiteboard for errors.

Liam the mathematical wunderkind

Liam's room is full of whiteboards filled with mathematical gems that many people will be familiar with. But first,

Liam's insane timetable, with a few weird entries. This is all in preparation for the "University Entrance Exams", whatever they are. A few of Burkard's vintage mathematical plaster models in the foreground.

The whiteboard in the background contains a proof for the reduction formula for the integrals of the type

It also features the Reidemeister moves and a so-called "skein relation" that feature prominently in the mathematical theory of knots. The two pages visible on the computer screen feature the normal distribution (on the left) and the formulas for the inverses of 2x2 and 3x3 matrices (on the right).

This shot definitely made our day - QED the cat, our mascot playing a big role on TV! Even Liam seems to be a fan of QED the cat and his friends. Here is Burkard in action, sneaking in the cat on yet another whiteboard. This whiteboard featured a lot of our favourites: a proof that 0.999...=1, Pascal's triangle, the golden ratio, the binomial formula, the prime number sieve of Eratosthenes, pictorial proofs for the formulas for the sums of the first N integers and odd numbers, Euler's formula(s), the Platonic solids. Check out the details here.

A picture of Liam receiving a (nonexisting) Australian Open Mathematics Competition award (with his favourite whiteboard (and cat)) in the background.

A picture of Liam constructing the sieve of Eratosthenes (with the tail of his favorite cat clearly visible at the top). There is something wrong with this picture...

A better view of the computer screen

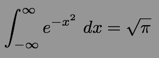
A proof for the famous identity

which seems to leave our detective puzzled. Here is the whiteboard

Who did it?

The second murder victim, Liam's father. The Maths Masters strike again.

Note that the weapon used to knock this second victim unconcious (upper left photo) is Burkard's plaster model of a paraboloid. Of course, this places the Maths Masters at the crime scene. Luckily nobody noticed and the Maths Masters got away with murder!